
檢漏與密封是相輔相成的兩個概念。在許多工業應用場景中,午夜福利剧场需要對特定空間進行有效密封,以防止氣體或液體在壓力差的作用下發生泄漏。例如,真空設備(如真空鍍膜機、液晶注入機、PVD設備及半導體外延設備等)必須在高度真空的環境下運行,任何空氣的泄漏都將導致生產中斷或產生次品,進而造成人力物力的巨大浪費。同樣,儲存液體或氣體的容器(如液壓氣瓶、氧氣瓶及空調冰箱中的製冷劑容器等)也要求在內外壓差存在的情況下,確保無氣體或液體泄漏,以避免有效物資的浪費,甚至防止有毒物質或腐蝕性氣體的泄漏引發嚴重事故。因此,對密封性有嚴格要求的產品或設備,在投入使用前及使用過程中,必須定期進行檢漏。
泄漏程度可通過單位時間內單位體積容器內壓強的變化來量化。以下通過兩個實例來直觀理解漏率的大小:
實例一:自行車胎容積為4L,若在30天內胎壓從3 bar降至2 bar,表明泄漏嚴重,漏率較高。此時,可采用簡單方法檢測漏點,如將車胎浸入水中,觀察氣泡冒出的位置。
實例二:冰箱在一年內製冷劑泄漏了10克(分子量102 g/mol),約相當於2.24 bar•l的漏率。這種程度的泄漏對冰箱性能構成嚴重影響,但普通檢測方法難以發現。此時,需借助檢漏儀或質譜儀進行精確檢測。



逆擴散檢漏:將被檢件連接至分子泵出氣口,漏入的氦氣逆著泵的排氣方向進入質譜管進行檢測。此方法適用於被檢件內壓強較高的情況,逆擴散檢漏具有質譜室不易受汙染、燈絲壽命長等優點。
1. 吸槍法:向被檢件充入高於大氣壓的氦氣,利用吸槍采集泄漏的氦氣進行檢測。吸槍在試件表麵移動,通過觀察檢漏儀漏率指示的變化確定漏點位置。
2. 真空箱法:將被檢件與真空腔體連接並抽真空,內部充入氦氣。若存在漏孔,氦氣將進入真空腔體並被質譜管檢測,測得的是被檢件的總漏率。
3. 背壓法:常用於電子元器件的氣密性檢測。向被檢件壓入定量氦氣後,放入檢漏罐中抽真空檢測。若器件存在漏孔,壓入的氦氣將釋放出來進入檢漏罐並被檢測,測得的是總漏率。
4. 真空噴氦法:將被檢件直接與檢漏儀連接並抽真空,對可能的漏點噴吹氦氣進行檢測。此方法可能因被檢工件體積增大而需要增加抽空設備。

示蹤氣體需滿足以下條件:
1. 無害,不對人體或環境造成傷害。
2. 品質輕,為惰性氣體,能穿透微小細縫。
3. 化學性質穩定,不易起化學反應或易燃易爆。
4. 在空氣中含量盡可能少,以提高檢漏靈敏度。
氦氣(He)因其無害、質量輕、化學性質穩定及在空氣中含量少等特點,成為最常用的示蹤氣體。氫氣(H2)雖也具備類似特性,但因安全問題,實際應用中氦氣更為普遍。
午夜资源福利實質上是一個專用的檢氦儀,通過檢測氦氣含量來判斷是否存在泄漏。
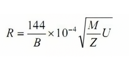
其核心部件為質譜儀,僅檢測氦氣而屏蔽其他質量數的氣體。質譜儀的正常工作需在高度真空環境下進行(至少10^-3 mbar以下),因此檢漏儀中配備了高真空係統。